Органические вещества клетки: липиды

ЛИПИДЫ

Липидами (от греческого липос - жир) называют низкомолекулярные органические соединения нерастворимые в воде, но растворимые в органических растворителях (например, в смеси хлороформ-метанол). Таким образом, гидрофобность (или липофильность) - общее свойство различных по строению классов липидов, большинство из которых является производным жирных кислот и спиртов.

На рис.1 представлена классификация липидов, в основу которой положены различия в их строении и химическом составе:

 ЛИПИДЫ

ПРОСТЫЕ

СЛОЖНЫЕ

Жирные кислоты

Ацилглицериды (жиры)

Воска

Фосфолипиды (глицерофосфолипиды и сфингофосфолипиды)

Холестерин (и его производные)

Гликолипиды (сфинголипиды и галактолипиды)

Эйкозаноиды

Пигменты

Рисунок 1. Классификация липидов по строению и составу

Роль липидов в процессах жизнедеятельности живых организмов чрезвычайно разнообразна. К основным функциям липидов можно отнести следующие:

1. Структурная функция. Липиды являются компонентами всех биологических мембран, доля липидов в составе мембраны может изменяться от 48 до 80%. От количественного и качественного состава липидов, входящих в состав мембраны, зависят свойства и биологические функции самой мембраны и входящих в ее состав интегральных белков.

2. Энергетическая функция. Хотя в качестве источника энергии в основном используются углеводы (около 70% энергии человек получает за счет окисления углеводов), липиды являются более энергоемкими. При окислении 1 г липидов выделяется почти в два раза больше энергии (38,9 кДж/г), чем при окислении углеводов. По этой причине липиды (в основном, жиры) представляют собой более компактную форму хранения запасов, из которых при необходимости можно получить значительное количество энергии.

3. Источник воды. При окислении жиров помимо освобождения большого количества энергии образуется много воды (1,1 г воды на 1 г жира). Именно поэтому многие животные, обитающие в пустынных зонах (например, верблюды), а также животные, впадающие в спячку (суслики, сурки), могут долгое время обходиться без воды.

3. Защитная функция. Обладая теплоизоляционными свойствами, жировая прокладка может предохранять организм от температурных воздействий. Кроме того, мягкий слой жира защищает от механических повреждений. Жировая прослойка на поверхности тела моржей и тюленей предохраняет их от переохлаждения, воска, покрывающие листья и стебли растений, предотврашают излишнюю потерю влаги, а также защищают растения от проникновения вирусов и бактерий. Жировые прослойки, например, жировая капсула почек, способна защитить внутренние органы от механического повреждения.

5. Регуляторная функция. Многие соединения, относящиеся к липидам, являются регуляторами различных процессов. К таким соединением относятся жирорастворимые витамины, стероидные гормоны, паракринные агенты или гормоны местного действия (эйкозаноиды).

Жирные кислоты

Жирные кислоты – это карбоновые кислоты с общим количеством атомов углерода от 4 до 38. Большинство липидов являются производными жирных кислот. Известно около 500 жирных кислот, но в свободном состоянии они встречаются достаточно редко. В липидах жирные кислоты связаны эфирными или амидными связями со спиртами или аминами. Наиболее часто в составе липидов встречаются жирные кислоты с числом атомов от 12 до 24, для которых характерны следующие структурные закономерности: в основном они являются неразветвленными монокарбоновыми (т.е. содержащими одну карбоксильную группу) кислотами с четным количеством атомов углерода. В ненасыщенных жирных кислотах двойные связи находятся главным образом в цис-конфигурации (рис. 2). При этом в мононенасыщенных жирных кислотах (т. е. жирных кислотах, имеющих одну двойную связь) первая по отношению к карбонильному углероду двойная связь располагается между 9 и 10-м атомом углерода, а в жирных кислотах с двумя и тремя двойными связями – после 9, 12 и 9, 12 и 15 атомами углерода (исключение составляет арахидоновая кислота, имеющая 4 двойных связи, расположенные после 5, 8, 11 и 14 атомов углерода). Наличие четного числа атомов углерода в жирных кислотах, входящих в состав мембран, обусловлено тем, что они синтезируются путем присоединения остатков уксусной кислоты, содержащей два атома углерода. Тот факт, что в основном в структурных липидах содержится от 12 до 24 атомов углерода, обусловлен определенной толщиной биологической мембраны (пленка из бислоя липидов имеет толщину около 7 нм). И, наконец, наличие двойных связей после 9-го атома обеспечивает более жесткую (кристаллическую) структуру вблизи поверхности липидного бислоя и более жидкую внутри него.

жирные кислоты

Рис. 2. Структура насыщенных и ненасыщенных жирных кислот

Для обозначения структуры жирных кислот часто используют цифры. Первая цифра обозначает общее число атомов углерода, в жирной кислоте, а вторая - число двойных связей. Для ненасыщенных жирных кислот положение двойных связей указывают верхними индексами, после знака ?

Таблица. Наиболее распространенные жирные кислоты

Насыщенные

Ненасыщенные

Лауриновая (12:0)

Миристиновая (14:0)

Пальмитиновая (16:0)

Стеариновая (18:0)

Арахиновая (20:0)

Пальмитолеиновая (16:1, ?9)

Олеиновая (18:1, ?9)

Линолевая (18:2, ?9,12)

Линолеиновая (18:3, ?9,12,15)

Арахидоновая (20:4, ?5,8,11,14)

Длинные углеводородные цепи жирных кислот придают молекулам липидов неполярный характер и обеспечивают способность липидов, которые взаимодействуют друг с другом этими углводородными цепями, образовывать бислой, являющийся основой биологических мембран. Физические свойства жирных кислот и их производных зависят от длины и степени ненасыщенности углеводородной цепи. Температура плавления жирной кислоты тем ниже, чем больше степень ненасыщенности: поэтому при температуре 25о С насыщенные жирные кислоты с длиной цепи 12-24 атома углерода находятся в твердом состоянии, в то время как соответствующие ненасыщенные жирные кислоты представляют собой жидкие масла. Различия в температурах плавления как липидов, так и образованных из них бислоев мембран, связаны с различиями в характере упаковки жирных кислот, что хорошо видно на рис. 2.

Линолевая, линоленовая и некоторые другие полиненасыщенные кислоты не синтезируются в организме человека и высших животных и должны поступать в организм с пищей. Поэтому их называют незаменимыми жирными кислотами. Жирные кислоты и липиды являются предшественниками ряда гормонов, паракринных агентов (гормонов местного действия), витаминов.

Воска и жиры

Восками называют эфиры жирных кислот и высших спиртов. Пчелиный воск (рис. 3) и воск, выделяемый из кашалотов (спермацет), являются эфирами пальмитиновой кислоты и мирицилового и цетилового спиртов соответственно.

воска

Рис.3. Структура пчелиного воска

В организме животных воска входят в состав жировых выделений покрывающих кожу, шерсть, перья, которые выполняют преимущественно защитную функцию. Пчелы используют воск для строительства сот. У растений воска образуют защитную пленку на поверхности листьев и фруктов, предохраняющую их от потери воды и внедрения бактерий и вирусов.

Жиры или ацилглицериды, представляющие собой наиболее распространенную группу природных липидов, являются эфирами жирных кислот и трехатомного спирта глицерина, причем среди них в количественном отношении преобладают триацилглицериды (рис. 2).  Поскольку жиры не содержат ионизируемых групп, их часто называют нейтральными липидами.

В зависимости от источника жиров различается структура остатков жирных кислот, этерифицирующих глицерин. Поскольку животные жиры содержат значительное количество насыщенных жирных кислот, большая их часть при комнатной температуре, как правило, является твердыми. В растительных жирах доля ненасыщенных жирных кислот существенно выше, поэтому они имеют более низкие температуры плавления. При обычных условиях растительные жиры жидкие, и их называют маслами.

Нейтральные липиды играют важную роль в процессах метаболизма, их  основными биологическими функциями являются запасная и энергетическая. Триацилглицериды - это компактная форма хранения энергии. При гидролизе жиров под действием ферментов, называемых липазами, образуются жирные кислоты, окисление которых приводит к выделению большого количества энергии. За счет жиров человек удовлетворяет от 30 до 50% своих энергетических потребностей.

Жирные кислоты и простые липиды (воска и жиры) широко применяются в различных отраслях науки, техники и медицины. Гидролиз жиров в присутствии щелочей, называемый омылением, используют в промышленности для получения жирных кислот. Переэтерификция жиров метанолом в присутствии катализаторов приводит к образованию метиловых эфиров жирных кислот, которые в настоящее время в ряде стран используют в качестве дизельного топлива (“биодизель”).

Глицерофосфолипиды

Глицерин способен образовывать эфиры не только с органическими, но и с неорганическими кислотами, например, с фосфорной. Если при этом этерифицируется первичная гидроксигруппа глицерина, то в молекуле возникает центр асимметрии и появляются оптические изомеры. В природе наиболее распространен L-глицеро-3-фосфат, который часто обозначают с приставкой sn ( sn-глицеро-3-фосфат). Большинство глицерофосфолипидов являются производными L-глицеро-3-фосфата, а точнее - его 1,2-диацильного производного (фосфатидной кислоты). Свободная фосфатидная кислота в составе липидов живых организмов практически не встречается, но она является составной частью глицерофосфолипидов и метаболитом липидов, образующимся при синтезе и распаде глицерофосфолипидов. Состав жирных кислот, входящих в фосфатидную кислоту, обычно сильно различается не только в пределах одной клетки организма, но и в разных мембранах одной клетки. Остатки ненасыщенных жирных кислот в природных липидах присоединяются только к второй гидроксигруппе глицерина.

Глицерофосфолипиды классифицируют в зависимости от радикала, связанного с остатком фосфорной кислоты в фосфатидной кислоте, обычно это различные спирты. Наиболее часто встречаются азотсодержащие производные: фосфатидилхолин (рис. 4), фосфатидилэтаноламин и фосфатидилсерин и фосфатидилинозитол(рис. 5).

фосфатидилхолин

Рис. 4. Структура фосфатидилхолина

Последний играет важную роль в передаче сигнала внутрь клетки от рецепторов гормонов. Фосфоинозитиды являются  производными шестиатомного спирта инозитола, который может быть фосфорилирован по гидроксильной группе, расположенной у 4-го и 5-го атомов углерода инозитола. Механизм передачи сигнала с использованием фосфоинозитидов будет рассмотрен ниже. Фосфатидилхолин (лецитин) и фосфатидилэтаноламин (кефалин) содержат остатки аминоспиртов холина и этаноламина соответственно (рис. 5). Эти два наиболее распространенных типа глицерофосфолипидов являются главными компонентами мембран клеток. В зависимости от типа мембраны их доля может составлять 20-40% и 10-20% соответственно. Фосфатидилсерины, содержащие остаток аминокислоты серина, менее распространены, но они являются предшественниками других глицерофосфолипидов.

гликофосфолипилы

Рис. 5. Радикалы спиртов и аминов, входящие в состав глицерофосфолипидов

При физиологических значения рН фосфатиды являются биполярными ионами и, следовательно, имеют высокополярную гидрофильную часть молекулы (“голова”), связанную с гидрофобными остатками жирных кислот (“хвост”) (рис. 4). Подобной особенностью строения липидов объясняется их способность образовывать липидный бислой – основу биологических мембран (рис. 6). В липидном бислое два отдельных монослоя липидов соединяются друг с другом хвостами за счет гидрофобных взаимодействий, а заряженные головы контактируют с водными растворами. Помимо уплощенного липидного бислоя липиды могут формировать мицеллы, шарообразные образования, внутри которых находятся гидрофобные хвосты, или липосомы, которые формируются из бислоя, поэтому внутри у них может находиться гидрофильный растворитель (рис. 6).

липидные бислои

Рис. 6. Структура мицеллы, липосомы и липидного бислоя

В живых организмах гидролиз глицерофосфолипидов осуществляется ферментами фосфолипазами, обладающими высокой специфичностью, т.е. способностью расщеплять только определенные эфирные связи липидов. Фосфолипазы А1 и А2 отщепляют остаток жирной кислоты соответственно от 1-го или 2-го положения глицерина (рис. 7) с образованием так называемых лизофосфолипидов. Лизофосфолипиды токсичны, поскольку вызывают разрушение (лизис) клеточных мембран. Фосфолипаза А2 содержится в яде некоторых змей и скорпионов, поэтому при их укусе происходит гемолиз эритроцитов. Фосфолипазы С и D гидролизуют фосфоэфирные связи между остатком глицерина и азотистого основания соответственно (рис. 7). Очень важную роль играет в организме фосфолипаза С, гидролизующая фосфоинозитиды. Этот гормон-зависимый фермент, взаимодействующий в мембране с рецептором некоторых гормонов, отщепляет от фосфоинозитида инозитол-1,4,5-трисфосфат, который является сигнальной молекулой (вторичным мессенджером), участвующей в передаче сигнала от гормона, связавшегося с наружной мембраной, внутрь клетки.

фосфолипазы

Рис. 7. Действие различных фосфолипаз на молекулу фосфоинозитида

В некоторых тканях и организмах встречаются липиды, называемые плазмалогенами. Они отличаются от обычных глицерофосфолипидов тем, что остаток жирной кислоты в молекуле фосфатидной кислоты заменен на остаток ?,?-ненасыщенного спирта. При их гидролизе в кислой среде образуются альдегиды, соответствующие ?,?-ненасыщенному спирту, поэтому эти производные часто называют фосфатидалями.

В фосфатидилглицеридах остаток фосфатидной кислоты связан с глицерином, к гидроксигруппе глицерина могут присоединяться аминокислоты (лизин), сахара (глюкозамин) или, как в случае кардиолипина, ещё один остаток фосфатидной кислоты (рис. 5). Кардиолипин содержится в митохондриальной мембране и играет важную роль в организации дыхательных комплексов.

Сфинголипиды

Большинство липидов, не содержащих глицерин, являются производными ненасыщенного аминоспирта D-эритро-сфингозина (рис. 8).

сфинголипид

Рис.8. Структура сфинголипидов

Ацилирование аминогруппы сфингозина жирной кислотой приводит к образованию церамидов – основы сфинголипидов (рис. 8). Присоединение фосфохолина к первичной гидроксигруппе остатка церамида приводит к образованию сфингомиелина. Сфингимиелины являются наиболее распространенным типом сфинголипидов, они входят в состав мембран животных и растений. Чаще всего в состав сфингомиелина входят остатки четырех жирных кислот: пальмитиновой, стеариновой, лигноцериновой (24:0), нервоновой (24:1 , ?15). Наиболее высокое содержание сфингомиелина обнаруживается в нервной ткани (до 10-20%), причем оно возрастает при ряде заболеваний центральной нервной системы.

Гликолипиды

Как и сфингомиелин, гликолипиды являются производными церамида, остаток которого связан с углеводным компонентом. В цереброзидах церамид связан с галактозой или глюкозой О-гликозидной связью. В состав галактозилцерамидов входят различные жирные кислоты, в том числе некоторые гидроксикислоты. Так, например, в состав липида френозина входит цереброновая кислота (24:0, 2- OH ). Френозин и его сульфаты, в которых одна из гидроксигрупп галактозы этерифицирована серной кислотой (чаще всего в 3-ем положении), являются основными гликолипидами нервной ткани, причем особенно велико их содержание в белом веществе мозга. В церамидолигосахаридах церамид связан с остатком ди- или три- или тетрасахарида.

Последним типом гликолипидов являются ганглиозиды, в которых церамид связан с олигосахаридом, содержащим один или несколько остатков N -ацетилнейраминовой кислоты ( N - AcNeu ). Ганглиозиды в больших количествах содержатся в нервных тканях, а в сером веществе мозга их доля достигает 6% от общего количества липидов. Олигосхаридная ветвь ганглиозидов, входящих в состав мембраны, выступает наружу, в межклеточное пространство, поэтому ганглиозиды играют важную роль в регуляции межклеточных контактов и связывании некоторых сигнальных молекул. В частности, именно церамиды являются антигенами, определяющими группы крови у человека (рис. 9антигены групп крови).

Рис. 9. Структура трех ганглиозидов, являющихся антигенами, определяющими группы крови у человека. Основным антигенным компонентом являются олигосахариды, различающиеся по структуре.

Стероиды

Стероиды - большая группа природных веществ, являющихся производными конденсированной циклической системы циклопентанпергидрофенантрена. Стеролы и их производные не только важные компоненты липидного состава мембран, но и соединения, выполняющие самые разнообразные биологические функции. Так, производные стероидного ряда являются половыми гормонами, гормонами коры надпочечников, витаминами, желчными кислотами, сердечными гликозидами.

холестерин

Рис. 10. Структура молекулы холестерина.

Наиболее распространенным стеролом у животных является холестерол или холестерин (от лат. холе – желчь), содержащийся во всех тканях животных (рис. 10). Холестерин является важными компонентом клеточных мембран, причем больше всего холестерина обнаруживается в плазматической мембране (до 20% ). Это приводит к формированию в плазматической мембране отдельных островков (рафтов), обогащенных холестерином, сфинголипидами и многими белками, контакт между которыми необходим для выполнения многих функций, в частности, для осуществления процессов эндо- и экзоцитоза. У грибов и растений аналогичную функцию выполняют близкие по строению эргостерол и ситостерол. Эфиры холестерина, которые образуются путем этерификации жирной кислотой единственной ОН-группы холестерина, обнаруживаются главным образом в составе крупных липопротеидов крови, являясь транспортной формой холестерина.

Холестерин является предшественником всех остальных стероидов в живом организме, причем их образование связано с дальнейшей потерей атомов углерода.

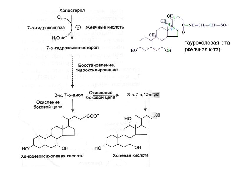
Окисление боковой цепи в холестерине и гидроксилирование циклической системы приводит к образованию желчных кислот: холевой и хенодезоксихолевой (С24). В желчь желчные кислоты поступают в виде коньюгатов с глицином и таурином  (рис. 11). Соли желчных кислот - эффективные детергенты (эмульгаторы или поверхностно-активные вещества), поэтому основной функцией желчных кислот является эмульгирование липидов в пищеварительном тракте, что способствует их эффективному расщеплению липазами и всасыванию в тонком кишечнике.

желчные кислоты

Рис. 11. Структура желчных кислот и их синтез.

Ряд стероидов имеет важное эндокринное значение. Предшественником большинства стероидных гормонов является прегненолон (С21), синтезируемый в надпочечниках, половых железах и плаценте, путем отщепления боковой цепи в молекуле холестерола. В надпочечниках из прегненолона образуются глюкокортикоиды и минералокортикоиды – гормоны, контролирующие соответственно обмен углеводов, белков и липидов, а также водно-солевой обмен. Наиболее важным глюкокортикоидом является кортизол (рис.12), стимулирующий глюконеогенез, образование гликогена и расщепление жиров и белков. Главным минералокортикоидом является альдостерон, стимулирующий всасывание натрия в эпителии почечных канальцев. Альдостерон активирует экспрессию генов, кодирующих различные переносчики натрия.

Половые гормоны, образующиеся в половых железах, делят на андрогены (мужские) и эстрогены (женские) (рис. 12). Основным представителем андрогенов (С19), образующихся в семенниках, является тестостерон. Тестостерон и его производные ответственны за дифференцировку и функционирование мужской репродуктивной системы, а также контролируют клеточный метаболизм во многих других тканях и органах. Андрогены, стимулируя процессы транскрипции и увеличивая скорость синтеза белка, вызывают наращивание мышечной массы (анаболический эффект).

Эстрогены (С18), например эстрадиол, образуются в яичниках и регулируют формирование и функционирование женской репродуктивной системы. Наряду с эстрогенами к женским половым гормонам относится, вырабатываемый желтым телом и плацентой прогестерон (С21), контролирующий протекание беременности и лактации.

стероидные гормоны

Рис. 12. Структура основных стероидных гормонов и синтетических аналогов кортизола.

Очень важную регуляторную роль играет в организме животных арахидоновая (эйкозановая) кислота, из которой образуется большая группа биологически активных метаболитов - эйкозаноидов. Эйкозаноиды регулируют многие физиологические функции клеток и образуются во многих тканях и органах. Время их жизни невелико (от нескольких секунд до часов), поэтому они действуют чаще всего поблизости от места синтеза и их часто называют гормонами местного действия. К эйкозаноидам относят лейкотриены и простагландины, в том числе простациклины и тромбоксаны.

Арахидоновая кислота образуется из различных глицерофосфолипидов при действии на них фосфолипазы А2, которая отщепляет ненасыщенные жирные кислоты, связанные с гидроксильной группой у второго гидроксила глицерина. Фосфолипаза А2, как и фосфолипаза С, является гормон-зависимым ферментом. Метаболизм арахидоновой килоты протекает в двух направлениях (рис. 13). При её окислении липооксигеназой образуются группа соединений, называемых лейкотриенами, которые содержат три сопряженные двойные связи и кислородсодержащие группировки, что делает эти соединения весьма нестабильными. Поэтому они не накапливаются в тканях, а образуются в них в ответ на действие гормона. Лейкотриены являются медиаторами аллергических реакций немедленного типа, так например, лейкотриен В4 (LTB4) в значительной степени ответственен за возникновение приступов астмы.

простагландины

Рис.  13. Синтез эйкозаноидов из арахидоновой кислоты

При участии фермента циклооксигеназы (ЦОГ) из арахидоновой кислоты образуется промежуточный продукт ее метаболизма - эндопероксид простагландин H4 (PGH4), который при действии соответствующих синтетаз превращается в простагландины, простациклины или тромбоксаны. Простагландины были названы так, потому что впервые были выделены из секрета предстательной железы (простаты) в 1932 г, однако впоследствии оказалось, что они могут образовываться в эндоплазматическом ретикулуме клеток различных тканей и органов.

Простагландины обеспечивают различные физиологические эффекты: они участвуют в поддержании гомеостаза организма, регуляции иммунного ответа, обуславливают повышение температуры тела в ответ на появление пирогенных факторов (например, некоторых микроорганизмов), стимулируют секрецию ферментов поджелудочной железы, выделение слизи слизистой оболочкой желудка, активируют сокращение и расслабление гладкомышечных волокон (в том числе и гладких мышц сосудов, а также мышц матки).

При действии на эндопероксид PGH4 тромбоксансинтетазы в тромбоцитах образуются тромбоксаны, а с участием простациклинсинтетазы - простациклины (PGI2). Тромбоксан ТХА2 стимулирует образование тромбов в сосудах, а действие простациклинов обратное: PGI2 препятствует тромбообразованию и  обеспечивает расслабление гладкомышечных волокон сосудов.

Действие большой группы нестероидных противовоспалительных препаратов (НПВП), к которым относятся аспирин, ибупрофен, индометацин и другие, основано на ингибировании синтеза эйкозаноидов под действием циклооксигеназы (рис. 13). Жаропонижающее и противовоспалительное действие, антисвертывающая активность аспирина и его основной побочный эффект – повышение кислотности в желудке, связаны с подавлением образования простаноидов из арахидоновой кислоты за счет ингибирования циклооксигеназы.

ЖИРОРАСТВОРИМЫЕ ВИТАМИНЫ

К жирорастворимым витаминам относятся витамины А, D, E и К.

Витамин A (ретинол)

Витамин А (ретинол) является непредельным одноатомным спиртом, состоящим из ?-иононового кольца и боковой цепи построенной из двух остатков изопрена (рис. 14). В организме он образуется путем распада провитамина А, бета-каротина, который мы потребляем с пищей. 

При недостатке витамина A эпителий слизистых оболочек превращается в роговидный эпителий, что приводит к специфическому поражению кожи и слизистых оболочек. Ороговение эпителия кожи и сухость слизистых оболочек облегчает внедрение инфекций, что ведет к развитию дерматитов, бронхитов и ряда других заболевании. Кроме того, ретинол оказывает сильное влияние на проницаемость клеточных мембран. Это действие ретинола связано с тем, что при окислении он превращается в ретиноевую кислоту, которая регулирует транскрипцию генов, кодирующих белки клеток эпителия.

витамин А

Рис. 14. Образование ретиналя и ретиноевой кислоты из провитамина А (бета-каротина)

Витамин А играет важную роль в фотохимических процессах, лежащих в основе зрения. Витамин А в виде дегидрированного производного цис-ретиналя и белка опсина входит в состав родопсина – пигмента, локализованного в палочках сетчатки глаза. При фотохимической реакции хромофор цис-ретиналь поглощает кванты света, в результате чего цис-ретиналь превращается в транс-ретиналь (рис.14), после чего происходит изменение конформации родопсина, в конечном итоге приводящее к формированию нервного импульса, передающегося в мозг.

Витамин А содержится в продуктах животного происхождения, например печени, яйцах, сливочном масле. В растительных продуктах, например в моркови и тыкве содержится провитамин А– пигмент бета-каротин, который в печени в результате ферментативного гидролиза превращается в ретинол (рис. 14).

Витамины группы D

Возникновение детской болезни рахита, при которой кости становятся мягкими и искривляются, а также некоторых заболеваний костной ткани у взрослых, например, остеопороза, связано с недостатком в организме витамина D. Первоначально для лечения рахита использовался рыбий жир. В начале 20-го века было показано, что солнечный свет имеет большое значение в профилактике и лечении рахита. Позднее оказалось, что облучение ультрафиолетовым светом некоторых продуктов придает им антирахитические свойства, а активируется при облучении жировая фракция продуктов. В 1927 году А. Виндаус выделил из дрожжей высокомолекулярный спирт эргостерин, который при облучении превращался в антирахитический витамин D2 (эргокальциферол).

В 1936 г. из жира тунца и палтуса был выделен кристаллический витамин D3 (холекальциферол), который оказался идентичным витамину D3 , образующемуся при облучении 7-дегидрохолестерина. Таким образом было установлено существование двух антирахитических провитаминов - эргостерина и 7-дегидрохолестерина, превращающихся при действии УФ-облучения в витамины D2 и D3 соответственно  (рис.15).

Витамины группы D играют важную роль в регуляции обмена кальция и фосфора. Физиологические концентрации кальция в крови поддерживаются системой, регулятором которой является 1,25-дигидрокси производное холекальциферола (D3). Этот метаболит участвует в регуляции транскрипции некоторых генов, которые обеспечивают всасывание кальция из желудочно-кишечного тракта. Наиболее богат витамином D3 рыбий жир, особенно печень рыб.

Витамин E (токоферол)

Работами Г. Эванса и Б. Шуры в 20-е годы 20-го века было показано существование химического фактора, предохраняющего женские и мужские особи животных от бесплодия и нарушения функций размножения, который был назван ими токоферол (способствующий родам). Первые концентраты витамина были получены из экстрактов пшеничных проростков. В 1937 г Е. Фернгольцем было установлено, что токоферол является производным хромана, содержащим в боковой цепи фитольный радикал, построенный из трех изопреноидных единиц (рис. 16).

Физиологическое действие витамина Е связано с его антиоксидантными свойствами. Токоферол из-за своей гидрофобности располагается главным образом в мембранах, предотвращая процессы перекисного окисления ненасыщенных жирных кислот липидов. Образование гидроперекисей жирных кислот разрушает липидный бислой мембран, таким образом, токоферол, предотвращая это окисление путем улавливания радикальных форм кислорода,поддерживает целостность биологических мембран. Наиболее чувствительны к недостатку витамина Е клетки, где в мемебранах эндоплазматического ретикулума осуществляется синтез половых гормонов. Поэтому у самок авитаминоз влечет нарушение процесса беременности, а у самцов - нарушение сперматогенеза.

Помимо антистерильного действия, проявляющегося при лечении некоторых форм бесплодия, токоферол применяют для лечения сердечных, сосудистых и ряда других заболеваний. Поскольку перекисное окисление клеточных компонентов является одной из причин старения организма, витамин Е, являющийся важным компонентом антиоксидантной защиты организма, часто называют витамином, замедляющим старение, или “витамином молодости”. Содержатся витамины группы Е в растительных и животных маслах (больше всего в облепиховом).

Витамины группы K

При изучении  обмена холестерина у цыплят Г. Дам в 1929 г. заметил внутренние кровоизлияния, несмотря на наличие в их рационе всех известных к тому времени витаминов. Позднее был открыт антигеморрагический фактор, необходимый для свертывания крови, названный  витамином К (коагуляционный). В 1939 г. Г. Дам и П. Каррер выделили из люцерны витамин К1 (филлохинон), а Е. Дойзи из рыбной муки - витамин К2 (менахинон). Сходные по строению витамины К1и К2, являющиеся производными 2-метилнафтохинона, различаются только по структуре боковой цепи. Сам 2-метилнафтохинон, также обладающий К-витаминной активностью, получил название витамина К3.

Витамины группы К являются регуляторами системы свертывания крови. Витамин К продуцируется микрофлорой кишечника. Недостаток витамина К возникает, как правило, из-за снижения его усвояемости при нарушении всасывания жиров в кишечнике или недостатке желчи, либо из-за подавления микрофлоры кишечника. Гиповитаминоз вызывает понижение содержания протромбина в крови, что приводит к кровоизлияниям. Витамин К показан для лечения кровотечений, некоторых типов желтухи, циррозов печени, язвенной болезни.

Последнее изменение: Saturday, 3 September 2011, 09:05